Volume 22, Issue 3 (9-2025)                   J Res Dev Nurs Midw 2025, 22(3): 14-22 | Back to browse issues page


XML Print


Download citation:
BibTeX | RIS | EndNote | Medlars | ProCite | Reference Manager | RefWorks
Send citation to:

Mokhtari Sorkhani T, Bokaie M, Madadizadeh F, Sharma M, Mazloomy Mahmoodabad S S. Design and evaluation of a multi-theory model-based intervention to promote childbearing intentions among Iranian single-child women: A mixed-methods protocol. J Res Dev Nurs Midw 2025; 22 (3) :14-22
URL: http://nmj.goums.ac.ir/article-1-2025-en.html
1- Social Determinants of Health Research Center, Non-Communicable Diseases Research Institute, Department of Health Education and Health Promotion, School of Public Health, Shahid Sadoughi University of Medical Sciences, Yazd, Iran
2- Research Center for Nursing and Midwifery Care, Comprehensive Research Institute for Maternal and Child Health, Department of Midwifery, School of Nursing and Midwifery, Shahid Sadoughi University of Medical Sciences, Yazd, Iran
3- Medical Informatics Research Center, Institute for Futures Studies in Health, Kerman University of Medical Sciences, Kerman, Iran
4- Department of Social and Behavioral Health, School of Public Health, University of Nevada (UNLV), Las Vegas, United States; Department of Internal Medicine, Kirk Kerkorian School of Medicine at UNLV, Las Vegas, United States
5- Social Determinants of Health Research Center, Non-Communicable Diseases Research Institute, Department of Health Education and Health Promotion, School of Public Health, Shahid Sadoughi University of Medical Sciences, Yazd, Iran , Mazloomy.mm@gmail.com
Full-Text [PDF 541 kb]   (58 Downloads)     |   Abstract (HTML)  (436 Views)
Full-Text:   (14 Views)
Introduction
The total fertility rate (TFR) has decreased in various developed and developing nations. In Iran, recent data indicate that the TFR fluctuated, rising from 1.8 children per woman in the early 2010s to 2.01 children by the middle of the decade, before dropping to 1.7 children at the decade's end (1,2). The TFR has fallen below the replacement level over the last two decades (3). An aging crisis looms over many societies, posing a significant and multifaceted challenge that will likely affect all aspects of life (4). Today's families also hold different views and desires concerning childbearing (5). The development of reproductive health intervention programs necessitates a renewed focus on educational strategies, with the design process guided by a specific conceptual framework (6). Implementing behavioral models appears to be an effective strategy for encouraging couples to have children and experience parenthood (7). Childbearing behavior is a social phenomenon influenced by a complex interplay of individual and environmental factors (8). The actual reproductive functioning is further influenced by economic, social, and cultural factors (9). Environmental influences specifically encompass social pressures, dominant socio-cultural norms, and the extensive availability of family planning services (10). Furthermore, significant others and peers who are parents exert social pressure that can influence an individual's intention to have children (11). Additionally, the availability of and support from relatives for informal childcare has been shown to be a significant factor in increasing the probability of pregnancy and childbirth (12).
The MTM of health behavior change was introduced by Professor Manoj Sharma in 2015 (13) to address the shortcomings of conventional theories like the health belief model (HBM) and the theory of planned behavior (TPB), especially concerning the maintenance of long-term behavioral changes. The MTM provides a comprehensive framework for behavior change by integrating cognitive, emotional, volitional, and environmental factors. This approach is designed to initiate and sustain health behaviors among various populations (14), and its novelty is particularly useful for tackling complex areas like reproductive health.
Key constructs for initiating behavior are as follows:
Participatory dialogue: A process of weighing the perceived advantages over disadvantages of change.
Behavioral confidence: The conviction an individual has in their own ability to successfully conduct the behavior.
Changes in the physical environment: Enhancements to the availability and accessibility of required resources.
For sustaining behavior, MTM focuses on:
Emotional transformation: Leveraging feelings to drive objective-oriented behavior.
Practice for change: Cultivating consistent and supportive habits.
Changes in the social environment: Establishing and preserving supportive social networks (Figure 1).

Figure 1. Schematic representation of the multi-theory model
The MTM is a promising framework for initiating and maintaining new health behaviors, such as childbearing (13). It has been used in several studies (15-17) and combines insights from different behavioral theories, making it adaptable for various contexts, especially in resource-limited settings. Despite its potential, the model is still being researched further (13).
Having children is seen as an investment affected by several factors, such as the associated costs, benefits, and the mother's specific situation (18).
While the MTM has been extensively applied to various health-related behaviors, including smoking cessation, physical activity, and nutrition, its use in understanding childbearing intentions is quite restricted. To date, only one conceptual paper has investigated this model in a fertility context (14). Although the MTM has shown its efficacy in predicting and altering health behaviors (13), its application to childbearing contexts has yet to be documented, both in Iran and internationally.
To design successful programs that encourage childbearing, it is crucial to acknowledge and respect cultural sensitivities, along with local social norms and customs, since these elements are critical to a program's effectiveness (19). Therefore, a thorough investigation is needed to improve procreative behaviors and create targeted local interventions, because reproductive decisions are highly dependent on context and are influenced by deeply ingrained social and cultural standards (20).
To our knowledge, a thorough systematic review of the literature reveals no prior research that has applied the MTM specifically to the fertility intentions of single-child women of reproductive age, either in Iran or globally. This study, therefore, utilizes the MTM's comprehensive framework to perceive behavioral change, adopting a culturally-adapted approach that is suitable for the unique social and cultural environment of Iran. A new questionnaire will be developed and psychometrically validated to precisely measure childbearing intention, using the theoretical framework of MTM as the first instrument of its kind for this specific purpose. Unlike standard global tools, the current research will focus on creating a context-specific measurement. Furthermore, the intervention will uniquely involve men in educational sessions with their wives, acknowledging the crucial role of spousal participation in reproductive choices. The results of this study are anticipated to address key research deficiencies, provide a more profound understanding of childbearing behaviors, guide effective population policies, and improve reproductive health initiatives. This exploratory mixed-methods research seeks to develop, execute, and assess an educational MTM-based intervention, conducted in three consecutive phases among single-child women of reproductive age.

Methods
The present study employs an exploratory mixed-methods design and is structured into three distinct phases. Phase 1 involves a qualitative study to create a questionnaire derived from the constructs of the MTM. Phase 2 focuses on validating the researcher-developed instrument. Finally, Phase 3, an intervention package will be developed using the insights from the previous phases and the MTM framework. A subsequent field trial intervention program will then be implemented and evaluated to determine any changes in pregnancy intention. The mean scores of the MTM constructs will be utilized to assess this change (Figure 2).

Figure 2. Study phases and methodological flow diagram 
Phase 1
Study design and participants
To our knowledge, no Iranian or international researcher has designed a questionnaire that assesses childbearing intentions using the MTM constructs. Consequently, for Phase 1 of this study, we will conduct qualitative research, including a literature review and interviews. The interview guide will feature questions derived from each MTM construct to develop a preliminary version of the questionnaire, which will then be administered to participants. 
The study will involve single-child women with the capacity to contribute to population replacement levels. This specific demographic was selected because they are at a key point where decisions about family size can still be influenced. Furthermore, this group is more likely to benefit from educational programs designed to increase their desire to have more children.
This phase focuses primarily on examining the experiences of single-child women. The participation of their spouses is scheduled for Phase 3, specifically during the intervention.
This population is considered the ideal target for the intervention due to their potential receptiveness to behavior change. Women will be selected from comprehensive healthcare centers in Yazd, Iran, using a purposive sampling method.
In the qualitative phase of this study, participants will be single-child women of reproductive age who are literate. Key inclusion criteria are a willingness to participate and the ability to articulate their experiences related to childbearing. A purposive sampling strategy with maximum variation will be employed to ensure a wide range of perspectives are captured.
Women who are unwilling to participate or who withdraw their consent during the interview process will be excluded from the study.
In the qualitative phase of this study, all ethical principles pertinent to qualitative research will be meticulously adhered to. Key among these are the requirement for informed consent, which will be obtained either in writing or verbally based on participant preference, and a clear articulation of the study's objectives. Furthermore, voluntary participation will be ensured, and participants will be guaranteed the right to withdraw from the study at any point without any form of retribution. To ensure a tranquil, non-judgmental, and confidential atmosphere, all interviews will be conducted in private rooms located within comprehensive health centers. Participants will be informed that audio recordings will be accessible only to the interviewer and that they have the right to pause or terminate the recording at any time. To guarantee complete anonymity, no identifying information will be collected, and all transcripts will be assigned a pseudonym or code. Audio recordings will be promptly and permanently deleted following transcription. The resulting transcripts will be stored in a secure manner, adhering to both national and institutional ethical guidelines for qualitative research. A summary of the interview findings will be made available to participants upon request. These protocols are implemented to guarantee the protection of participants' privacy, autonomy, and safety throughout the research process.
Sample size
The sampling process will continue until both data saturation and deep data are achieved.
Data collection process
In this study, following the acquisition of all necessary permits and ethical approvals, and the coordination required for researchers' access to the designated research centers, a preliminary discussion will be conducted to provide participants with an initial verbal overview of the study. Subsequently, their consent will be obtained for both the conduct and recording of the interviews. Participants for these interviews will be chosen from the target group through a combination of purposive and convenience sampling methods.
In the initial session, participants will receive a comprehensive overview of the study, including the voluntary nature of their involvement, the confidentiality of all data collected, and their right to withdraw from the study at any time. The interviews will begin with a general, open-ended question concerning mothers' experiences with childbearing and subsequent pregnancies. Subsequent interview questions will be structured around the MTM. The primary objective of these interviews is to focus on and elicit detailed accounts of the participants lived experiences. With the participants' consent, each semi-structured interview will be audio-recorded and transcribed immediately afterward. The transcription process will involve listening for several times to ensure accuracy and to capture non-verbal communications. During the interviews, the interviewer will also take notes to document important non-verbal cues, such as the participant's tone of voice, pauses, and points of emphasis. The interviews are scheduled to be held at designated comprehensive health centers. Attempts will be made to ensure the interviews are conducted in an appropriate, bias-free environment. In line with the principle of skepticism in qualitative research, the researcher will maintain a neutral stance, not allowing preconceived hypotheses or ideas to influence the interview questions or subsequent analysis. The initial interview guide will be developed based on a review of relevant literature and expert consultation, with the MTM constructs serving as the guiding framework. An open-ended, guiding question like “What is your opinion on childbearing?” will be posed to initiate the interview and clarify the main issues. The interview will proceed with subsequent questions tailored to the participant's responses. To ensure clarity and gain deeper insights, follow-up questions will be asked based on the information provided, and probing questions like “Can you explain further?” or “Can you provide an example?” will be utilized. Simultaneously with the interview, the key points raised by the interviewees will be documented. This will help summarize the main discussion points at the end of each interview session and confirm their meaning with the interviewee. If any ambiguity emerges after the interview has been transcribed, the interviewee will be contacted for clarification, and the new information will be added to the transcript. Data collection will continue until thematic saturation is achieved. This is defined as the point at which no new concepts or themes emerge from the data, and all relevant areas have been comprehensively addressed. The interviews will be independently analyzed by two researchers who are not involved in the study. The anticipated duration for each interview is between 40 to 50 minutes.
Data analysis
A theory-driven approach to qualitative text analysis is best accomplished through the directed qualitative content analysis method, as proposed by Hsieh and Shannon (2005). This study will employ this method alongside a deductive approach (21). The recorded interviews will be transcribed verbatim on the same day they are conducted. The transcripts will then be imported into the MAXQDA2020 software. The qualitative data analysis will proceed concurrently with data collection, guided by the methodology proposed by Granheim and Landman (2004) (22).
This process of data analysis, following data collection, consists of five stages:
1. Interviews are transcribed verbatim and reviewed repeatedly to establish a general comprehension.
2. The text is segmented into condensed semantic units.
3. These units are abstracted and assigned codes.
4. Codes are categorized into subthemes by comparing their similarities and differences.
5. Themes are then identified as representing the underlying content of the text. The research team will repeatedly review the interviews to acquire a comprehensive understanding of the textual data. Once the analysis and semantic units are identified, the data will be independently coded by two analysts. Any discrepancies will be resolved through discussion and deliberation until a consensus is reached. If a disagreement remains, a third expert (Either a supervisor or a qualitative consultant) will be consulted to make a final decision.
The process begins with a comparison of initial codes, and similar codes are subsequently organized into subcategories. These subcategories are then placed within main categories, with continuous comparative analysis to ensure their relevance and similarity. This process is iterative; with each new interview, the codes and categories are refined, and the research team maintains a close connection to the data throughout the analysis.
Validity and reliability
In this study, the reliability of findings will be enhanced through several methodological strategies, including employing maximum diversity in participant selection, allocating sufficient time for data collection, conducting in-depth interviews at various times and locations. Additionally, to further ensure rigor, we will combine several data collection methods, such as individual interviews and field notes. Moreover, participant reviews and a comprehensive, continuous record of researcher decisions and activities will be used to increase confidence in the study's conclusions. To improve the transferability of the findings, the research results will be shared with several individuals who have similar characteristics to the participants who were absent from the study, allowing us to assess the similarities between the study's conclusions and their personal experiences. Following data collection and preliminary analysis, we will use Lincoln and Guba's criteria (23) to ensure the quality and authenticity of the results.
Credibility
The credibility of the data-referring to the extent that research findings are viewed as believable by participants-will be ensured through several methodological strategies. These include conducting interviews with a maximum diversity of participants and employing continuous data comparison throughout the research process. To ensure representativeness, diversity will be emphasized across diverse dimensions, including age, occupation, educational level, socioeconomic status, marriage duration, and childbirth history. A purposeful sampling strategy will be used to ensure the inclusion of a diverse group of women, representing a wide range of socioeconomic statuses, age groups, and reproductive histories. Concerning the review of participants, if any statements made during the interview are unclear to the researcher or if the participant's intended meaning is not fully understood, those statements will be revisited several times, and clarification will be requested from the participant. Furthermore, procedures like summarizing and categorizing the data will be performed continuously to guarantee the accuracy and comprehensiveness of the analysis (24).
Dependability
This refers to the degree to which other researchers can verify the findings. To achieve this, we will share the transcripts of certain interviews, coding, and identified categories with other experts. Additionally, by replicating similar conditions with individuals outside the study, we will assess the accuracy of the research process. Furthermore, peer review or validation of the collected data will be carried out with other experts and researchers experienced in qualitative research. The coding process will be reviewed by two supervisors and advisors, distinct from the qualitative method advisor, experienced in qualitative studies. Their diverse perspectives will ensure a robust and well-rounded evaluation. Additionally, the research team will enhance the study's reliability through ongoing collaboration with participants, which includes collecting and validating information from them (25).
Confirmability
To guarantee the findings’ consistency under similar conditions, the accuracy of the coding process will be verified through the involvement of the research team and experts. The research results should show that they are based on real evidence and data, rather than just the researcher’s personal opinions or interpretations. To bolster the credibility of this study's findings, the research team employed a rigorous process of expert review and repeated re-examination of the interview data. Feedback from the research team, colleagues, and external experts was utilized to ensure the accuracy of the coding process. Furthermore, the interviews, codes, and derived categories were systematically reviewed and validated by several experienced qualitative research professors (26).
Transferability
This section addresses the transferability of the data, which refers to the extent to which the findings can be applied to similar contexts. To achieve this, a comprehensive and accurate description of the research process, participant statements, and analysis methods will be provided, enabling other researchers to apply the methodology in comparable settings. Furthermore, to enhance the transferability of the findings, the study will explore the experiences of the key participants and ensure that the sample represents a diverse range of ages, educational backgrounds, cultures, and social contexts. The diversity of data sources enhances the transferability of the findings to other contexts. Furthermore, to ensure the research method is replicable in similar situations and thus guarantee the transferability of the results, we will review the study with colleagues to confirm its stages. A detailed and comprehensive description of the research process will also be provided, including participants' statements and the procedures for data analysis (26,27).
After completing the final analysis and theme identification, a questionnaire titled “the MTM-Based Childbearing Intention” will be developed. The items for this questionnaire will be formulated by integrating the findings from the data analysis, the concepts derived from the themes, and a thorough literature review. Additionally, the formulation will be guided by an analysis of the frequency of recurring words and the established MTM constructs. The initial version of the questionnaire will then be created, with items scored on a Likert scale. Subsequently, a psychometric analysis will be conducted to reduce and refine the designed statements.
Phase 2
At this stage, the researcher-developed questionnaire, which was compiled based on the MTM constructs, will undergo validation. This process is comprised of several distinct parts.
Face validity
Sample size
For this phase, the questionnaire will be administered to 10 experts in relevant fields, including health education and promotion, reproductive health, psychology, and demography. Additionally, 5 to 10 women from the target population will be recruited using a convenience sampling method to assist in this process.
Qualitative face validity
Sample size
To establish qualitative face validity, researchers will conduct face-to-face consultations with 5 to 10 women from the target population at designated health centers. The purpose of these consultations is to gather participant feedback on three key aspects: Clarity (Understanding and interpreting the questions), appropriateness (Relevance and suitability of the questions for measuring the intended constructs), and ambiguity (Identification and subsequent resolution of any confusing or unclear items). Based on the feedback received, necessary modifications will be made to the questionnaire items.
After making any necessary adjustments to the questionnaire items, quantitative face validity will be conducted.
Quantitative face validity
Sample size
For this phase, the questionnaire will be sent via academic email to a panel of 10 experts specializing in relevant fields, including health education and promotion, reproductive health, psychology, and demography.
Quantitative face validity will be assessed to eliminate inappropriate phrases and determine the importance of each item using the impact score method.
Each item will be assessed using a 5-point Likert scale, ranging from 5 (Very important) to 1 (Not important at all). Only items with a mean score of 1.5 or higher will be selected for subsequent analysis (27). Furthermore, a concerted effort will be made to ensure that all questionnaire items are written in a correct style and have a logical sentence structure. These items will be subject to review by the research team, and their feedback will be incorporated. To further enhance the validity of the questionnaire, expert opinions on its content will also be solicited during the content validity assessment.
Content validity
Qualitative content validity
Sample size
Beginning on October 10th, a questionnaire will be disseminated to experts via their institutional email addresses. They will be requested to provide revisions for each item, with a specific focus on syntactic structure, appropriate diction, and adherence to grammatical conventions. The problematic items will then be revised based on the feedback received.
Quantitative content validity
We will quantitatively assess content validity using the content validity ratio (CVR) and the content validity index (CVI). To do this, we will ask at least 10 specialists, experts, or consultants to review the questionnaire. They will be instructed to evaluate each item's appropriateness using the following three-point scale: “Essential,” “useful but not essential,” or “not essential.”
For a panel of 10 experts, the minimum acceptable CVR according to Lawshe's table is 0.70. This value determines the acceptability of individual items. The CVI will be calculated based on the simplicity, relevance, and clarity of the items. If an item's CVI score is low, it will be reviewed and revised to improve its accuracy and clarity. Should the score remain low after revision, the item may be removed. Additionally, any item that fails to meet the required CVR will be excluded from the questionnaire, subject to the research team's approval.
Construct validity
The structural validity of the instrument will be assessed using factor analysis. This statistical technique is widely recognized as a powerful method for variable reduction and simplifying complex datasets. Factor analysis serves two distinct purposes: exploratory and confirmatory. Exploratory factor analysis (EFA) is used to identify and categorize the underlying factor structure of items based on their intercorrelations, a process that may or may not align with a specific theoretical framework. Conversely, confirmatory factor analysis (CFA) aims to test and validate a theoretical model of relationships between items and their corresponding factors that the researcher has specified in advance.
Sample size
The recommended sample size for this analysis is 5-10 participants per item of the proposed instrument. Some researchers also deem three samples per item as sufficient, as long as the percentage of variance and factor loading is above 0.8. The Kaiser-Meyer-Olkin (KMO) measure of sampling adequacy and Bartlett's test of sphericity will be utilized.
The sample size needed for establishing construct validity will be determined using the rule of thumb of 5 to 10 participants per item (27). Since the final number of items will be finalized after the qualitative stage, an initial sample of 300 to 400 participants is planned. A systematic random sampling method will be employed to select participants from Iran's Integrated Health System (SIB).
Reliability
The reliability of a research instrument refers to the extent to which it yields consistent results when used for repeated measurements under the same conditions (28).
Internal consistency
To determine the scale's reliability, we'll assess its internal consistency using Cronbach's alpha and McDonald's omega. A coefficient of 0.70 or greater is considered an acceptable indicator of reliability. Since the instrument employs a Likert scale, it is essential to evaluate the homogeneity of its items to ensure internal consistency (29). We will calculate Cronbach's alpha for the entire scale and for each dimension individually.
Stability reliability
The intraclass correlation coefficient (ICC) will be employed to assess the questionnaire's test-retest reliability, a key measure of its stability. A ICC value exceeding 0.80 suggests a satisfactory level of consistency between the two administrations. In this context, the Spearman-Brown prediction formula is a widely used method for estimating the correlation between the scores from the two tests (27).
Sample size
To assess the reproducibility of the questionnaire using a test-retest method, a cohort of 30 participants will be re-administered the questionnaire after a two-week interval. Additionally, Pearson’s correlation coefficients will be computed to evaluate the relationship between the different sections of the questionnaire (30).
Phase 1 of the study, which encompasses conducting interviews, data analysis, coding, and the development of the preliminary questionnaire, is projected to last approximately 3 months. The subsequent psychometric evaluation is estimated to take around 4 months. Upon successful completion of these stages and confirmation of the questionnaire's validity and reliability, the research will advance to Phase 3.
Phase 3
This phase of the research is a quantitative investigation that entails the implementation of an intervention program. The primary objective is to evaluate and measure any subsequent changes in the childbearing behavior of women of reproductive age.
This study will be a randomized interventional parallel field trial, utilizing a two-group design (Intervention and control) to evaluate the effectiveness of the intervention program. Following an explanation of the research objectives and the acquisition of informed consent, all participants will complete a demographic information form and a researcher-made questionnaire based on the MTM model constructs at three time points: Baseline (Pre-intervention), and again one and three months after the intervention's conclusion.
Participants and research setting
The research will be conducted in a comprehensive health center in Yazd. To ensure a representative sample with cultural, economic, and social similarities, four of these centers will be selected from the north, south, east, and west of the city. Subsequently, two centers will be randomly assigned to the intervention group, and the remaining two will be assigned to the control group.
Participants
The selection of participants will be based on predefined criteria and will be proportional to the number of single-child women within each comprehensive health center.
Inclusion criteria
This study requires participants to meet several specific criteria. They must be literate and of childbearing age, have no intention of becoming pregnant before the study begins, have a single and only spouse, have one child, and maintain an active marital and sexual relationship. Participants must also have access to a mobile phone and social media networks, and have no medical contraindications for pregnancy (Such as Class 4 heart disease, use of teratogenic drugs for conditions like epilepsy or rheumatoid arthritis, and a history of malignancies).
Exclusion criteria
The following are considered grounds for participant exclusion: A confirmed pregnancy before or during the intervention, the participant or their spouse not providing consent, or the participant withdrawing from the study at any point.
Researcher procedure
After acquiring the necessary ethical approval and clinical trial code number (IRCT20170802035446N3, registered on 2024-10-18 and last updated on 2025-04-02), and armed with a formal letter from the Deputy of Research and Technology at Shahid Sadoughi University of Medical Sciences, Yazd, Iran, the researcher will visit the pre-selected comprehensive health centers. Upon arrival, the researcher will introduce themselves, provide a clear explanation of the research process and its objectives, and then proceed with a purposive sampling method. The sample size for the intervention group will be determined at the beginning of this phase.
Sample size
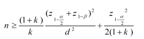
The sample size was estimated based on the attitude score toward childbearing from the study by Ansari Majd et al. (31). Using G*Power software, with a significance level (α) of 0.05, a power of 0.8, and an effect size (d) of 0.6, an initial estimate of 45 participants per group was determined. To account for a 10% non-cooperation rate and the use of cluster sampling, a design effect of 1.5 was applied, which resulted in a final sample size of 50 participants per group.

K is the ratio of the control group to the intervention and is equal to one.
d is the effect size and is equal to 0.6.
Recruitment process
Eligible single-child women will be identified and their contact details will be retrieved from the SIB system. They will be contacted by telephone and invited to participate in the study. Prospective participants who consent to be involved will be provided with comprehensive information regarding the study's objectives, procedures, confidentiality protocols, and their right to withdraw at any time. They will also be notified about the nature of the field trial and their random assignment to either the intervention or control group. Contact information will be collected for coordination purposes, and a link to the informed consent form will be provided to the couples. This research will be conducted in accordance with the principles of the Declaration of Helsinki.
Allocation and concealment mechanism
Participants will be assigned to either the intervention or control groups through block randomization, utilizing a block size of 4. The random sequence will be generated by a researcher who isn't involved in either participant recruitment or data collection. Although the randomization.com website may be used for practical purposes to assist in implementing the block randomization, the independent researcher's generation of the random sequence will be the primary method of allocation. Each participant will be given a unique study ID. The allocation sequence will be kept confidential in sequentially numbered, opaque, sealed envelopes, which will be opened only after the participants have completed their baseline assessments.
Blinding
Given the nature of the educational intervention, achieving blinding of both participants and instructors is impractical, as their awareness of group assignments is inherent to the study design. Nevertheless, to mitigate potential assessment bias, the individuals responsible for collecting and analyzing the outcome data will be kept blinded to the group allocations.
Interventions
Pre-Test phase: A questionnaire, developed by the researcher and grounded in the constructs of the MTM, will be disseminated to all participating women through an internal messaging network, enabling them to self-report their responses.
Educational intervention
This intervention will involve at least 4 sessions, each lasting 45-60 minutes (32) (Table 1). The sessions will be held in person, twice a week, for 50 women from two comprehensive health centers. The participants will receive their education at their respective centers.
Table 1. Details of the content presented in the sessions
The intervention content will be designed based on an analysis of findings from the qualitative phase, a comprehensive literature review, and the pre-test results, with a consistent focus on the MTM framework. A draft of these materials will be submitted for review and validation to a panel of experts specializing in reproductive health, health education, and clinical psychology. Their feedback will inform subsequent revisions to guarantee the materials are accurate, culturally appropriate, and practically applicable. The intervention program, supervised by esteemed professors and delivered by Ph.D. students, will consist of a variety of educational activities. These activities, which include lectures, group discussions, instructional videos, pamphlets, book introductions, practical training, and brainstorming sessions, are specifically designed using insights from interviews, pre-tests, and the MTM model to focus on childbearing.
Given the crucial role men play in childbearing decisions and their influence on women's childbearing intentions, the fourth training session will involve husbands to enhance their awareness and engagement. This initiative aims to equip men to better support their wives and contribute to informed decision-making. Spousal support can mitigate women's stress, bolster their psychological security, and ultimately improve the quality of decisions related to childbearing.
The core of this research is to alter women's attitudes and behaviors. Consequently, the study's assessment instruments, such as questionnaires and qualitative evaluations, are crafted exclusively for female participants, who are required to complete them. Conversely, men are not obligated to complete these tools. The influence of male involvement will be gauged indirectly via women's self-reports and qualitative analysis. Spouses of male non-participants will not be excluded from the study.
To enhance accessibility, women will be encouraged to share essential knowledge with their husbands, and a video recording will be made available for men who cannot attend. To ensure high-quality instruction, prominent psychology and fertility specialists will be invited to deliver crucial scientific and practical education. The number of sessions may be increased based on participant feedback to meet educational needs.
Communication and support
The designated internal messaging platform facilitates the distribution of session announcements and educational resources, while also providing participants with the capability to engage in private correspondence with the researcher via text or voice messages. Additionally, reminders for each session's homework assignments will be disseminated through SMS notifications.
Control group procedures
Participants assigned to the control group will be provided with standard or routine care from the comprehensive health center throughout the study period.
Post-test and outcomes
The primary outcome of this study will be the modification of pregnancy intention behavior. This includes changes in the mean scores of the constructs related to initiating behavior change (Participatory dialogue, behavioral confidence, and change in the physical environment). It also encompasses changes in the mean scores of the constructs for maintaining and sustaining behavior change (Emotional transformation, change in the social environment, and practicing for a change). The term behavioral intention is defined as the initiation of childbearing, which involves completing the pre-pregnancy care form at a health center, beginning folic acid supplementation, and discontinuing contraceptive use.
The secondary outcome will be the occurrence of pregnancy.
All participants (Both the intervention and control groups) will complete the questionnaire for a second time at one month and again at three months following the conclusion of the intervention. To ensure consistency, researchers will conduct follow-up assessments on pregnancy occurrences via telephone calls at three, six and nine -months post-intervention.
Due to ethical considerations, the educational materials and training package will be made accessible to the women in the control group and their spouses through a virtual network after the final follow-up. Furthermore, any questions they may have will be addressed.

Statistical analysis
Quantitative variables will be summarized by their mean and standard deviation, while qualitative variables will be described using frequencies and percentages. The Shapiro-Wilk test will be used to determine if the quantitative data are normally distributed. If the data do not follow a normal distribution, non-parametric tests (Such as the Mann-Whitney U test or the Wilcoxon signed-rank test) will be employed. For inferential statistics, within-group comparisons will be analyzed using a paired t-test or the Wilcoxon test, whereas between-group comparisons will be analyzed with an independent t-test or the Mann-Whitney test. To compare outcomes across the different time points (Baseline, one month, and three months post-intervention), a repeated measures analysis of variance (ANOVA) will be utilized. In cases where the data do not meet the assumptions for ANOVA, the Friedman test will be used as a non-parametric alternative. If the analysis reveals significant differences, post-hoc Bonferroni correction will be applied to the pairwise comparisons to control. Finally, effect sizes will be calculated and reported, using Cohen's d for t-tests and partial η² for the ANOVA results, to quantify the magnitude of the observed effects. Potential confounding variables (Such as age, duration of marriage, and socioeconomic status) will be statistically controlled through the use of analysis of covariance (ANCOVA) or various regression models. To address missing data, the technique of multiple imputations will be employed. All statistical analyses are planned for execution using SPSS version 22 (IBM Corp., Armonk, NY), with a predetermined significance threshold of p < 0.05 to establish statistical significance.

Discussion
To comprehend the psychological and social factors influencing childbearing intention, a theoretical framework is necessary to explain this complex behavioral shift within a reproductive context. For studying childbearing and fertility, an effective theory must merely concentrate on the target behaviors, possess strong predictive power grounded in empirical evidence, be economical, and contain modifiable constructs. Additionally, it should be executable across diverse cultures and be applicable to both short- and long-term behavioral changes at the individual, group, and community levels (13). The HBM serves as a valuable framework for comprehending the interplay between personal beliefs and perceptions in shaping reproductive health behaviors. This model has proven effective in illuminating factors that influence childbearing counseling, which could help in overcoming obstacles and fostering healthy family development (27). Consistent with the central tenets of the HBM, prior studies have underscored that both knowledge and the perceived risk of infertility are crucial factors in encouraging behaviors that optimize fertility (33).
The TPB is a prominent theoretical framework that has been widely utilized in the study of fertility intentions. For instance, a particular study demonstrated that an educational intervention based on the TPB's principles led to significant positive changes in the attitudes, perceived behavioral control, and fertility intentions of single-child women (34).
Despite some successful outcomes, not all TPB-based interventions have been effective. For example, one study found that a structured educational program rooted in TPB principles failed to produce significant changes in attitudes, subjective norms, perceived behavioral control, or childbearing intentions. This suggests that broader sociocultural, economic, and religious factors exert a powerful influence on fertility behaviors. Therefore, educational interventions by themselves may be insufficient to change behavior unless these wider contextual factors are also taken into consideration (35).
A validated instrument, specifically designed for the Iranian context, was developed to assess childbearing intentions, thereby supporting applications of the TPB (36).
Based on the TPB, behavioral intention is primarily shaped by an individual's attitudes, subjective norms, and perceived behavioral control (34). Numerous intervention studies have shown that TPB-based educational programs can culminate in significant improvements in attitude scores among women (37). For example, research in Italy found that these three TPB components were strongly linked to fertility intentions, though they did not always translate into actual fertility behavior, highlighting the widely recognized intention-behavior gap (38).
Consistent with these observations, evidence from Iranian studies indicates that attitudes and subjective norms are crucial determinants of fertility intentions, playing a central and significant role in childbearing decision-making (39).
Other models like the transtheoretical model (TTM) and PRECEDE-PROCEED have also demonstrated effectiveness, though they are less commonly used. For example, a TTM-based educational program led to a notable improvement in childbearing decision-making scores among Iranian women, even with minimal progression across the stages of change (31). Additionally, a recent multimedia field trial targeting single-child women showed a significant rise in positive fertility motivation just six weeks after the intervention. This finding underscores the crucial influence of both environmental and behavioral factors in shaping childbearing intentions (40).
In total, childbearing is fundamentally a social act molded by broader societal structures (8). A socio-cognitive lens reveals that people learn behaviors not just from their own lives, but also by watching and emulating others (41). Therefore, beyond personal choices, reproductive decisions are heavily influenced by economic, social, cultural, and environmental factors (9).
While established theoretical frameworks, including the HBM, TPB, TTM, PRECEDE-PROCEED, and ecological models, have offered significant insights into fertility behavior, they each have limitations when addressing its complex, multidimensional nature. Consequently, a MTM that synthesizes cognitive, volitional, and environmental constructs-drawing on and supported by prior empirical research-could offer a more comprehensive and actionable approach. These integrated models are especially valuable for developing effective interventions tailored for individuals, interpersonal networks, and communities, particularly in low-resource contexts (13).
In contrast to single-theory frameworks, the MTM is uniquely structured to encompass both the initiation and the ongoing maintenance of behavior change, a capability essential for establishing durable fertility-related behaviors. Its demonstrated applicability across culturally diverse and resource-limited contexts further substantiates its value for reproductive health interventions focused on strengthening childbearing intentions.
In this study, we applied the MTM to investigate the childbearing intentions of single-child women. This approach deals with limitations found in existing theoretical frameworks and interventions. Future studies should focus on assessing the efficacy of MTM-based interventions and comparing them to traditional models. This will help identify the most effective strategies for promoting changes in reproductive behavior and establish best practices.

Conclusion
This research introduces a culturally-adapted and theoretically-grounded intervention designed to encourage childbearing among Iranian couples using a three-phase, mixed-methods approach. The initial qualitative phase informs the creation of the intervention, which is subsequently assessed in a field trial. A mixed-methods design is considered suitable due to the intricate and multifaceted nature of childbearing behavior.
The current research, while facing limitations like restricted generalizability and a dependency on qualitative data during its early phases, presents significant strengths. These include a diverse sampling methodology and the rigorous validation of the MTM constructs. A notable contribution is the creation of a new questionnaire, “the Childbearing Intention Questionnaire,” as an MTM-based framework. This instrument could serve as a valuable resource for future studies and strategic planning within the field of reproductive health.

Acknowledgement
This article, derived from a doctoral dissertation by Tayebeh Mokhtari Sorkhani, was made possible by the support of Shahid Sadoughi University of Medical Sciences in Yazd, Iran.
We would like to thank the Vice-Chancellor for Research at the same university for their financial support (Grant number: 18859), and to the women of reproductive age who participated in this study.

Funding sources
This research was funded by the Vice-Chancellor for Research at Shahid Sadoughi University of Medical Sciences, Yazd, Iran.

Ethical statement
The present study received approval from the Ethics Committee of Shahid Sadoughi University of Medical Sciences, Yazd, Iran (IR.SSU.SPH.REC.1403.069). Prior to participation, all individuals will provide written informed consent. Furthermore, verbal consent will be obtained before any audio recording takes place. The research's goals and methodology will be explained to participants, and their privacy and anonymity will be guaranteed before the interviews are conducted.

Conflicts of interest
No conflict of interest.

Author contributions
Conceptualization: T.M.S.; Data curation: M.B. and F.M.; Methodology/Formal analysis/Visualization: T.M.S., M.SH., and F.M.; Project administration: S.S.M.M.; Writing - Original draft: T.M.S.; Writing - Review and Editing: T.M.S. and M.SH. All authors actively participated in all stages of preparing the manuscript and approved the final version of the manuscript.

Data availability statement
Not applicable.
Type of study: Original Article | Subject: Midwifery

References
1. Khani S, Mohammadzade H, Abbasi-Shavazi MJ. The Intergenerational Comparison of Marriage and Childbearing Ideals with Emphasis on Background Characteristics in Sanandaj District. Social Problems of Iran. 2019;9(2):49-76. [View at Publisher] [Google Scholar]
2. Statistical Center of Iran. Barvari.[Internet]. [cited 2025]. Available from: https://amar.org.ir/Portals/0/News/1400/barvari.pdf. [View at Publisher]
3. Bagi M, Sadeghi R, Hatami A. Fertility intentions in Iran: Determinants and limitations. Strategic Studies of Culture. 2022;1(4):59-80. [View at Publisher] [DOI] [Google Scholar]
4. Mahmoudzadeh H, Aghayari Hir T, Hatami D. Study and Analysis of the Elderly Population of the Iran. Geographical Researches. 2022;37(1):111-25. [View at Publisher] [Google Scholar]
5. Savelieva K, Jokela M, Rotkirch A. Reasons to postpone childbearing during fertility decline in Finland. Marriage Fam Rev. 2023;59(3):253-76. [View at Publisher] [DOI] [Google Scholar]
6. Kashefi F, Bakhtiari A, Pasha H, Amiri FN, Bakouei F. Student Attitudes About Reproductive Health in Public Universities: A Cross-Sectional Study. Int Q Community Health Educ. 2021;41(2):133-42. [View at Publisher] [DOI] [PMID] [Google Scholar]
7. Gonzalez C, Morawska A, Haslam DM. A Model of Intention to Participate in Parenting Interventions: The Role of Parent Cognitions and Behaviors. Behav Ther. 2021;52(3):761-73. [View at Publisher] [DOI] [PMID] [Google Scholar]
8. Kavas S, Jong JD. Exploring the mechanisms through which social ties affect fertility decisions in Turkey. J Marriage Fam. 2020;82(4):1250-69. [View at Publisher] [DOI] [Google Scholar]
9. Skakkebæk NE, Lindahl-Jacobsen R, Levine H, Andersson AM, Jørgensen N, Main KM, et al. Environmental factors in declining human fertility. Nat Rev Endocrinol. 2022;18(3):139-57. [View at Publisher] [DOI] [PMID] [Google Scholar]
10. Rahmati R, khadivzadeh T, Esmaily H, Bahrami HR. Evaluation of the performance of the health care workers in giving consultation about the fertility promotion. Journal of Midwifery and Reproductive Health. 2017;5(2):911-8. [View at Publisher] [DOI] [Google Scholar]
11. Bäckström C, Larsson T, Thorstensson S. How partners of pregnant women use their social networks when preparing for childbirth and parenthood: A qualitative study. Nordic Journal of Nursing Research. 2021;41(1):25-33. [View at Publisher] [DOI] [Google Scholar]
12. Horwood C, Hinton R, Haskins L, Luthuli S, Mapumulo S, Rollins N. 'I can no longer do my work like how I used to': a mixed methods longitudinal cohort study exploring how informal working mothers balance the requirements of livelihood and safe childcare in South Africa. BMC Women's Health. 2021; 21(1):288. [View at Publisher] [DOI] [PMID] [Google Scholar]
13. Sharma M. Multi-theory model (MTM) for health behavior change. WebmedCentral. 2015;6(9):WMC004982. Behaviour. [View at Publisher] [Google Scholar]
14. Abbasi Shavazi M, Sharma M, Mokhtari Sorkhani T. Multi-Theory Model (MTM) and change in childbearing behavior: A perspective. J Res Dev Nurs Midw . 2024;21(3):1-2. [View at Publisher] [Google Scholar]
15. Hayes T, Sharma M, Shahbazi M, Sung JH, Bennett R, Reese-Smith J. The evaluation of a fourth-generation multi-theory model (MTM) based intervention to initiate and sustain physical activity. Health Promot Perspect. 2019;9(1):13-23. [View at Publisher] [DOI] [PMID] [Google Scholar]
16. Kumar V, Sabbarwal B, Jaggi A, Taneja P. Effectiveness of tobacco cessation counselling and behavioural changes Using Multi Theory Model (MTM): A follow-up study. Indian J Dent Res. 2021;32(1):56-60. [View at Publisher] [DOI] [PMID] [Google Scholar]
17. Knowlden A, Sharma M. Program planning of the Men Conquering Obesity Using Reduced Dietary Intake, Increased Activity, and Goal-Based Education (M-COURAGE) randomized control trial. APHA 2016 Annual Meeting and Expo. 2016. [View at Publisher] [Google Scholar]
18. Mills M, Rindfuss RR, McDonald P, Te Velde E, Reproduction E, Force ST. Why do people postpone parenthood? Reasons and social policy incentives. Hum Reprod Update. 2011;17(6):848-60. [View at Publisher] [DOI] [PMID] [Google Scholar]
19. Yaya S, Uthman OA, Ekholuenetale M, Bishwajit G. Women empowerment as an enabling factor of contraceptive use in sub-Saharan Africa: a multilevel analysis of cross-sectional surveys of 32 countries. Reprod Health. 2018;15(1):214. [View at Publisher] [DOI] [PMID] [Google Scholar]
20. Rodrigues P, Manlosa AO, Fischer J, Schultner J, Hanspach J, Senbeta F, et al. The role of perceptions and social norms in shaping women's fertility preferences: a case study from Ethiopia. Sustainability Science. 2022;17(6):2473-88. [View at Publisher] [DOI] [Google Scholar]
21. Hsieh H-F, Shannon SE. Three Approaches to Qualitative Content Analysis. Qual Health Res. 2005;15(9):1277-88. [View at Publisher] [DOI] [PMID] [Google Scholar]
22. Graneheim UH, Lundman B. Qualitative content analysis in nursing research: concepts, procedures and measures to achieve trustworthiness. Nurse Educ Today. 2004;24(2):105-12. [View at Publisher] [DOI] [PMID] [Google Scholar]
23. Shenton AK. Strategies for ensuring trustworthiness in qualitative research projects. Education for information. 2004;22(2):63-75. [View at Publisher] [DOI] [Google Scholar]
24. Haq ZU, Rasheed R, Rashid A, Akhter S. Criteria for assessing and ensuring the trustworthiness in qualitative research. IJBR. 2023;4(2):173. [View at Publisher] [DOI] [Google Scholar]
25. Nazar ZJ, Nazar H, Rainkie D, El-Awaisi A, ElJaam M. Evidence produced while using qualitative methodologies including research trustworthiness. Encyclopedia of evidence in pharmaceutical public health and health services research in pharmacy: Springer; 2023:699-712. • [View at Publisher] [DOI] [Google Scholar]
26. Enworo OC. Application of Guba and Lincoln's parallel criteria to assess trustworthiness of qualitative research on indigenous social protection systems. Qual Res J. 2023;23(4):372-84. [View at Publisher] [DOI] [Google Scholar]
27. Ebadi A, Sharif-Nia H, Zareiyan A, Zarshenas L,Rakhshan M, Mojahedi M. Instrument development in health sciences. Tehran: Jame-e-Negar. 2019:282. [Google Scholar]
28. Mokkink L, Boers M, Van Der Vleuten C, Bouter L, Alonso J, Patrick DL, et al. COSMIN Risk of Bias tool to assess the quality of studies on reliability or measurement error of outcome measurement instruments: a Delphi study. BMC Med Res Methodol. 2020;20(293):1-13. [View at Publisher] [DOI] [PMID] [Google Scholar]
29. Avizhgan M, Mirshah Jafari E, Nasr AR, Changiz T. Designing a tool for curriculum leadership development in postgraduate programs. jmed. 2016;11(1):11-26. [View at Publisher] [Google Scholar]
30. Karimi M,Shafiee Motlagh M, Golmohammadi R, Aliabadi M, Farhadian M. Designing and Developing a Questionnaire to Evaluate the Lighting of the Working Environments of Hospitals. Journal of Health. 2023;13(4):590-603. [View at Publisher] [DOI] [Google Scholar]
31. Ansari Majd M, Khalajabadi Farahani F, Naghibi A, Moosazadeh M, Khani S. Effect of Transtheoretical Model-based Education on Women Attitudes and Stages of Change toward Childbearing Behavior. J Mazandaran Univ Med Sci. 2019;29(174):134-47. [View at Publisher] [Google Scholar]
32. Peter SC, Murphy JG, Witkiewitz K, Hand SB, Thomas F, Johnson KC, et al. Use of a sequential multiple assignment randomized trial to test contingency management and an integrated behavioral economic and mindfulness intervention for buprenorphine-naloxone medication adherence for opioid use disorder. Trials. 2023;24(1):237. [View at Publisher] [DOI] [PMID] [Google Scholar]
33. Fulford B, Bunting L, Tsibulsky I, Boivin J. The role of knowledge and perceived susceptibility in intentions to optimize fertility: findings from the International Fertility Decision-Making Study (IFDMS). Hum Reprod. 2013;28(12):3253-62. [View at Publisher] [DOI] [PMID] [Google Scholar]
34. Alami A, Esmailzade M, Esmaeili R, Matlabi M, Ekrami Noghabi A, Saberi M. Effectiveness of an Educational Intervention Based on the Theory of Planned Behavior on Fertility Intention of Single-child Women: A Field Trial Study. Intern Med Today. 2020;26(3):212-27. [View at Publisher] [DOI] [Google Scholar]
35. Vatanparast Z, Peyman N, Avval MG, Esmeili H. Effect of educational program based on the theory of planned behavior on the childbearing intention in one-child women. Journal of Education and Community Health. 2021;8(4):279-89. [View at Publisher] [DOI] [Google Scholar]
36. Nakhaee N, Khajeh Z. Development and Validation of the determinants of childbearing intention questionnaire based on theory of planned behavior in Iranian women. J Mazandaran Univ Med Sci. 2022;32(211):64-74. [View at Publisher] [Google Scholar]
37. Hoseini Soorand A MM, Sharifzadeh G. Effect of curriculum based on theory of planned behavior, on components of theory in patients with hypertension. J Birjand Univ Med Sci. 2015;22(3):199-208. [View at Publisher]
38. Mencarini L, Vignoli D, Gottard A. Fertility intentions and outcomes: Implementing the theory of planned behavior with graphical models. Adv Life Course Res. 2015;23:14-28. [View at Publisher] [DOI] [PMID] [Google Scholar]
39. Erfani A. Low fertility intention in Tehran, Iran: The role of attitudes, norms and perceived behavioural control. J Biosoc Sci. 2017;49(3):292-308. [View at Publisher] [DOI] [PMID] [Google Scholar]
40. Aghazadeh N, Jabbari Farooji S, Haghani S, Amini L. Effectiveness of multimedia education on the childbearing intention in one-child women: a field trial study. BMC Med Educ. 2024;24(1):921. [View at Publisher] [DOI] [PMID] [Google Scholar]
41. Bandura A. Self-efficacy: Toward a unifying theory of behavioral change. Psychol Rev. 1977;84(2):191-215. [View at Publisher] [DOI] [PMID] [Google Scholar]

Add your comments about this article : Your username or Email:
CAPTCHA

Send email to the article author


Rights and permissions
Creative Commons License This work is licensed under a Creative Commons Attribution-NonCommercial 4.0 International License.

© 2025 CC BY-NC 4.0 | Journal of Research Development in Nursing and Midwifery

Designed & Developed by : Yektaweb